
常见的带通滤波器,带阻滤波器都属于耦合谐振器电路。当谐振器在中心频率谐振,通过一定的耦合结构(谐振器间能量交换结构)设计,使能量合理的在谐振器间储存传递便可以实现特定频率/特定要求的滤波...

糖葫芦低通滤波器结构简单,插损小,功率容量较高,是同轴线低通的最常见形式。糖葫芦低通的设计方法遵循高低阻抗线低通滤波器的设计原理,参见之前总结的《平面低通滤波器的设计》。但由于糖葫芦低通...

Lange电桥在微带电路中非常流行,该桥结构紧凑,可以在微带结构中实现宽带强耦合。在特征参数获取方面,lange桥的交指多线耦合比常规的双线耦合要复杂的多,这样也给lange桥设计带来一...

圆波导双模滤波器Q值高,结构紧凑,可以高可靠的实现复杂的滤波器函数特性(无需探针或耦合环等结构),当采用殷钢材质时可以实现超高的温度稳定性。所以广泛的应用在卫星系统中。

近些年相控阵雷达快速发展,移相器在T/R中是必不可少的器件。每个辐射单元背后都有一个电控移相器控制相移,从而使天线孔径面的相位产生变化,实现波束灵活指向。这里主要介绍二极管开关移相器。

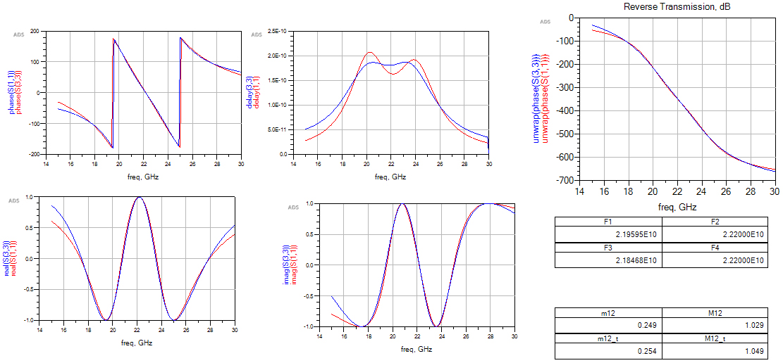
参数提取法的核心是任何一个S参数曲线均可以通过一个多项式进行拟合,而多项式又可以通过耦合矩阵表达,这样如果已知仿真或测试所得的S参数曲线,便可以通过线性回归的方法解算出对应的耦合矩阵。这...

波导耦合器由于低插损,高功率,高定向性微波通信,测试测量等场合有大量的使用。同时波导耦合器由于是三维结构,耦合方式多种多样(宽边/窄边/多路/平行/交叉耦合),其中应用非常广泛的一种结构...

一个功分器设计实际上就变成了一个阻抗变换器的设计,阻抗变换器有非常多的实现方式:阶梯阻抗变换器/变压器/阻抗变换滤波器均可以实现。平常接触最多的是阶梯阻抗变换器,但实际上变压器和阻抗变换...

随着现在微波链路越来越高频化,小型化,直接在链路中集成低通的现象越来越普遍。同时很多芯片化的低通也大都是在高介电陶瓷片上实现的微带滤波器。陶瓷片型的芯片电容,电感,均衡器都需要用到平面低...

带通滤波器是一个太宽泛的概念了,窄带的宽带的,LC/微带/同轴/波导/介质的。各种花样的谐振器,各种花样的耦合结构。但不管如何变化,有两个概念始终无法避开;谐振和耦合,各种设计方法也都是...